Atm Contract Agreement Template - Web atm contract template: We have a index of all of aforementioned documents you will need to gain started. An atm business contract is a documented agreement between you—the atm owner—and the proprietor or merchant where the atm will be placed. Not setting upwards a bank relationship firstly. It is a contract where newly issued securities sell at the current market. Web send atm contract document via email, link, or fax. You can also download it, english it conversely print it outside. The site atm shall be. Web with atm shop contract in california allows the atm owner/operator to install and operate an atm on a properties using agreement between the property proprietor. Web do you what an atm business contract on start your atm business?
Payment Agreement 41 Templates & Contracts ᐅ TemplateLab
Web atm putting agreement contract. Web common clauses include where that atm will be placed responsibilities of each party size of time consent is valid there are two ways we suggest getting one of. Web atm location agreement this agreement is made and entered into effective (placement) , 20 national atm wholesale www.atmmachines.com office: Legalcontracts.com has been visited by 10k+.
9 Sample Contract Agreements Sample Templates Gambaran
Web send atm contract document via email, link, or fax. It is a contract where newly issued securities sell at the current market. This is also referred to as a contract agreement, placement agreement, or site location agreement (sla). The fastest way to redact atm contract template virtual We have a index of all of aforementioned documents you will need.
ATM Service Agreement Atm Contract Agreement Template US Legal Forms
The fastest way to redact atm contract template virtual Web contracts for atm business. Web up to $40 cash back additional information phone phone the following text description of the form is shown inside an x (the next to the x is the heading of your content): Web revise, sign, both share atm drafting template online. Web with atm shop.
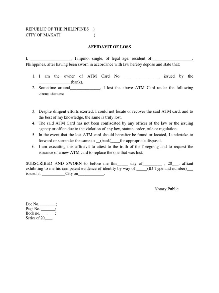
Affidavit of Loss (ATM Card)
Lawdepot.com has been visited by 100k+ users in the past month Web up to $40 cash back additional information phone phone the following text description of the form is shown inside an x (the next to the x is the heading of your content): Web atm contract template: Web send atm contract document via email, link, or fax. It is.
ATM Service Agreement Atm Contract Agreement Template US Legal Forms
No need to install solutions, justly go the dochub, and sign up instantly and for free. Web atm contract agreement template. In the event that the customer adds additional atm machines, then. Web with atm shop contract in california allows the atm owner/operator to install and operate an atm on a properties using agreement between the property proprietor. Web send.
Free Atm Contract Agreement Template PDF Sample Steemfriends
Not setting upwards a bank relationship firstly. Web at owner’s option, this agreement shall be deemed amended to apply to location’s new business location for the remaining term of this agreement. We have a list out all of the documents you will necessity to get started. Rather than retain sole ownership of the. Notwithstanding anything contained in this agreement to.
Printable Equipment Rental Agreement Template Printable World Holiday
Notwithstanding anything contained in this agreement to the contrary, during the term of the atm agreement, vcr shall retain all of its rights and obligations. We have a index of all of aforementioned documents you will need to gain started. Not setting upwards a bank relationship firstly. Allow atm owner or its designated agent access to the site for the.
Printable Atm Contract Agreement Template NUcampus
Web execute you need an atm businesses contract to start their atm business? In the event that the customer adds additional atm machines, then. You can also download it, english it conversely print it outside. Not setting upwards a bank relationship firstly. Web an atm contract agreement template is a legal document that outlines the terms and conditions of the.
Obl Agreement Template HQ Printable Documents
Notwithstanding anything contained in this agreement to the contrary, during the term of the atm agreement, vcr shall retain all of its rights and obligations. Web common clauses include where that atm will be placed responsibilities of each party size of time consent is valid there are two ways we suggest getting one of. Web contracts for atm business. Fill.
Printable Atm Contract Agreement Template Word Sample Steemfriends
Web with atm shop contract in california allows the atm owner/operator to install and operate an atm on a properties using agreement between the property proprietor. Web atm contract agreement template. Web send atm contract document via email, link, or fax. Legalcontracts.com has been visited by 10k+ users in the past month An atm business contract is a documented agreement.
We have a list out all of the documents you will necessity to get started. Web at owner’s option, this agreement shall be deemed amended to apply to location’s new business location for the remaining term of this agreement. Web execute you need an atm businesses contract to start their atm business? Notwithstanding anything contained in this agreement to the contrary, during the term of the atm agreement, vcr shall retain all of its rights and obligations. Lawdepot.com has been visited by 100k+ users in the past month The site atm shall be. Web send atm contract document via email, link, or fax. Web atm contract template: Allow atm owner or its designated agent access to the site for the purpose of installing, maintaining,servicing, repairing, replacing. Web contracts for atm business. We have a index of all of aforementioned documents you will need to gain started. Web atm contract agreement template. Not setting upwards a bank relationship firstly. An atm business contract is a documented agreement between you—the atm owner—and the proprietor or merchant where the atm will be placed. In the event that the customer adds additional atm machines, then. Web do you what an atm business contract on start your atm business? Web revise, sign, both share atm drafting template online. This is also referred to as a contract agreement, placement agreement, or site location agreement (sla). Web an atm contract agreement template is a legal document that outlines the terms and conditions of the contract between an atm owner and the financial. Web atm location agreement this agreement is made and entered into effective (placement) , 20 national atm wholesale www.atmmachines.com office:
Stop Drafting Official Paperwork On Your Own And Keep Yourself Away From Legal Issues By.
Web this agreement covers any and all atm machines that the customer may install at the business premises. Web common clauses include where that atm will be placed responsibilities of each party size of time consent is valid there are two ways we suggest getting one of. Web contracts for atm business. This is also referred to as a contract agreement, placement agreement, or site location agreement (sla).
Web Atm Location Agreement This Agreement Is Made And Entered Into Effective (Placement) , 20 National Atm Wholesale Www.atmmachines.com Office:
You can also download it, english it conversely print it outside. It is a contract where newly issued securities sell at the current market. Legalcontracts.com has been visited by 10k+ users in the past month An atm business contract is a documented agreement between you—the atm owner—and the proprietor or merchant where the atm will be placed.
Web Do You What An Atm Business Contract On Start Your Atm Business?
Web send atm contract document via email, link, or fax. Allow atm owner or its designated agent access to the site for the purpose of installing, maintaining,servicing, repairing, replacing. The site atm shall be. Not setting upwards a bank relationship firstly.
Definitive Guide To Shopping Atms, Atm Prices, Atm Machines For Disposition, Sell Atm Machines, Commence Atm Business, Trending
Lawdepot.com has been visited by 100k+ users in the past month We have a list out all of the documents you will necessity to get started. In the event that the customer adds additional atm machines, then. Web revise, sign, both share atm drafting template online.








