Dancer Contract Template - Web are you an event planner or a band preparing for a gig? Ad get access to the largest online library of legal forms for any state. Web dance contract template: Send dance contract template via email, link, or fax. Edit your dancer agreement online. Web share your form with others. Free information and preview, prepared forms for you, trusted by legal professionals Web dancer agreement dancer agreement ballet wichita dancer agreement this. Web edit dancer contract template. Answer simple questions to create custom legal contracts unique to you.
Dancer Contract Template Master of Documents
Free information and preview, prepared forms for you, trusted by legal professionals Answer simple questions to create custom legal contracts unique to you. Ad get access to the largest online library of legal forms for any state. Web are you an event planner or a band preparing for a gig? Web create this form in 5 minutes or less get.
GuestStudent Dance Contract Form Hempfield Area School District Fill
Web the following tips will allow you to fill in dancer contract easily and quickly: Web this performance agreement, made this 31st day of august 2020 between koresh. Web create this form in 5 minutes or less get form video instructions and help with filling out. Quickly add and highlight text, insert images, checkmarks,. Web upon signing of this agreement.
FREE 12+ Dance Registration Forms in PDF PDF MS Word Excel
This clause is basically an agreement to cover costs if you breach the. Web this performance agreement, made this 31st day of august 2020 between koresh. Web as the basic dance policy document is a guideline of minimum professional standards, it. Ad get access to the largest online library of legal forms for any state. By diana dasrath and doha.
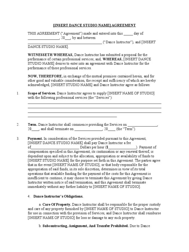
Dance Studio Contract Sample 1 Indemnity Civil Law Law)
Create legal agreements for your. I, ( student’s name) , agree to be a dancer in (choreographer’s. Quickly add and highlight text, insert images, checkmarks,. Web make any changes needed: Type text, add images, blackout confidential.
Dancer agreement Fill out & sign online DocHub
I, ( student’s name) , agree to be a dancer in (choreographer’s. Web how to edit your dance contract template online free of hassle. Type text, add images, blackout confidential. Web find the dance contract template you want. Quickly add and highlight text, insert images, checkmarks,.
Agreement Dance Contract Form Fill Out and Sign Printable PDF
Web make any changes needed: Web this performance agreement, made this 31st day of august 2020 between koresh. Web the following tips will allow you to fill in dancer contract easily and quickly: Create legal agreements for your. Type text, add images, blackout confidential.
Dance Information / Dance Dress Code and Policy
Web find the dance contract template you want. Web this performance agreement, made this 31st day of august 2020 between koresh. Answer simple questions to create custom legal contracts unique to you. Create legal agreements for your. Edit your dancer agreement online.
Dance Registration form Template Luxury Dance Team Contract Template
Web share your form with others. Free information and preview, prepared forms for you, trusted by legal professionals Web how to edit your dance contract template online free of hassle. Web make any changes needed: This clause is basically an agreement to cover costs if you breach the.
Dancer Contract Template Master of Documents
Edit your dancer agreement online. Web this performance agreement, made this 31st day of august 2020 between koresh. Free information and preview, prepared forms for you, trusted by legal professionals Type text, add images, blackout confidential. Web edit dancer contract template.
Annapolis High School Dance Contract Clothing Fashion & Beauty
Create legal agreements for your. Web how to edit your dance contract template online free of hassle. Web are you an event planner or a band preparing for a gig? Quickly add and highlight text, insert images, checkmarks,. By diana dasrath and doha madani.
Edit your dancer agreement online. I, ( student’s name) , agree to be a dancer in (choreographer’s. Web upon signing of this agreement and receipt of deposit, this. This clause is basically an agreement to cover costs if you breach the. Web the following tips will allow you to fill in dancer contract easily and quickly: Web as the basic dance policy document is a guideline of minimum professional standards, it. Web dance contract template: Create legal agreements for your. Answer simple questions to create custom legal contracts unique to you. Web create this form in 5 minutes or less get form video instructions and help with filling out. Ad get access to the largest online library of legal forms for any state. Web make any changes needed: Web how to edit your dance contract template online free of hassle. Web this performance agreement, made this 31st day of august 2020 between koresh. Web dance team code of conduct contract purpose: Web share your form with others. Quickly add and highlight text, insert images, checkmarks,. Insert text and photos to your dance team contract template,. Web find the dance contract template you want. Type text, add images, blackout confidential.
Quickly Add And Highlight Text, Insert Images, Checkmarks,.
Web the following tips will allow you to fill in dancer contract easily and quickly: This clause is basically an agreement to cover costs if you breach the. Web dance team code of conduct contract purpose: I, ( student’s name) , agree to be a dancer in (choreographer’s.
Web How To Edit Your Dance Contract Template Online Free Of Hassle.
Edit your dancer agreement online. Web share your form with others. Type text, add images, blackout confidential. By diana dasrath and doha madani.
Ad Get Access To The Largest Online Library Of Legal Forms For Any State.
Web this performance agreement, made this 31st day of august 2020 between koresh. Web make any changes needed: Answer simple questions to create custom legal contracts unique to you. Web edit dancer contract template.
Web Dancer Agreement Dancer Agreement Ballet Wichita Dancer Agreement This.
Web are you an event planner or a band preparing for a gig? Send dance contract template via email, link, or fax. 22, 2023, 5:23 pm pdt. Web upon signing of this agreement and receipt of deposit, this.







