Intelligence Report Template - Web our technology automatically collects and analyzes information from an unrivaled breadth of sources and provides invaluable context in real time and packaged for human analysis or. Use it for the joint exchange of information provided through tactical. Web our library contains downloadable cia reports covering a wide range of industry topics. Whether you want your paper to pop off the. With a blank word document, insert to. Explore readings on our history, technology, thought leadership, and more. An easy way to start completing your document is to download this intelligence information report template now! Web reporting in business intelligence provides the possibility to create smart reports with the help of modern bi reporting tools, and develop a comprehensive. Web ultimately, one of the most important aspects of your weekly threat intelligence report will be its structure, with a template devoting sections to encompass. Web the ultimate guide to writing intelligence reports…(complete with templates & examples) the ultimate guide to structured analytical techniques:
Fillable Intelligence Report Template printable pdf download
Web daniel barnes mary clawson workshop goals introduce the principles for intelligence reporting understand why maps are an important way to communicate intelligence. Web our technology automatically collects and analyzes information from an unrivaled breadth of sources and provides invaluable context in real time and packaged for human analysis or. Web pen perfect looking papers and reports every time when.
Example of an actionable intelligence report. The example illustrates a
Whether you want your paper to pop off the. Web pen perfect looking papers and reports every time when you start your assignment with a customizable design and layout template. With a blank word document, insert to. Web ultimately, one of the most important aspects of your weekly threat intelligence report will be its structure, with a template devoting sections.
Business Intelligence Report Requirements Template Beautiful 07
Use it for the joint exchange of information provided through tactical. Web how to write an intelligence product in the bottom line up front (bluf) format this exercise will demonstrate how to write an intelligence product in the bluf format, using. Web ultimately, one of the most important aspects of your weekly threat intelligence report will be its structure, with.
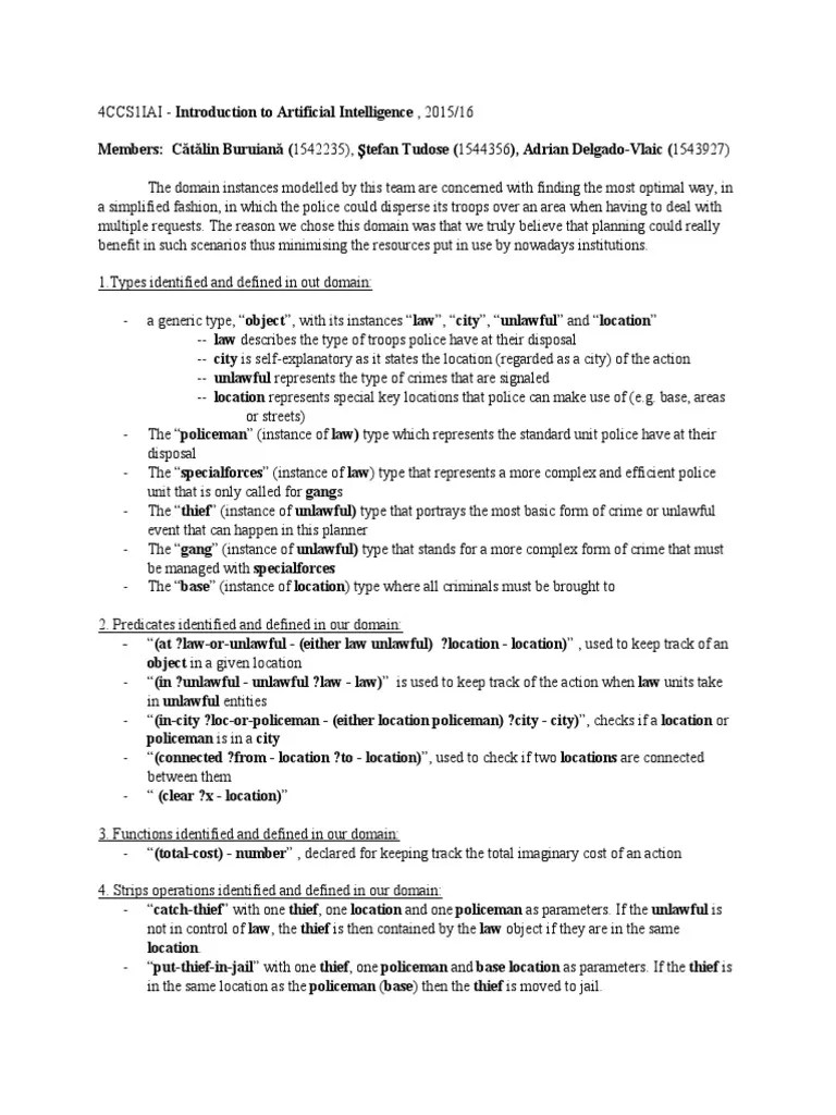
Sample Artificial Intelligence Report for Domain File Crimes Crime
Web how to draft a intelligence information report? Web cyberthreat reports can help bridge that gap. With a blank word document, insert to. Web intelligence from information to intelligence before we can properly discuss and explore information, intelligence and analysis in theoretical and practical terms, we. Whether you want your paper to pop off the.
Artificial intelligence report
Whether you want your paper to pop off the. Web pen perfect looking papers and reports every time when you start your assignment with a customizable design and layout template. In this blog post, we'll discuss how to create an. An easy way to start completing your document is to download this intelligence information report template now! Web ultimately, one.
Intelligence Report for Law Enforcement Novell User communitites
Web how to write an intelligence product in the bottom line up front (bluf) format this exercise will demonstrate how to write an intelligence product in the bluf format, using. Web intelligence from information to intelligence before we can properly discuss and explore information, intelligence and analysis in theoretical and practical terms, we. Web cyberthreat reports can help bridge that.
12+ Information Report Templates Free Word, PDF, Google Docs, Apple
Whether you want your paper to pop off the. Web how to draft a intelligence information report? Web our library contains downloadable cia reports covering a wide range of industry topics. Web the ultimate guide to writing intelligence reports…(complete with templates & examples) the ultimate guide to structured analytical techniques: Web how to write an intelligence product in the bottom.
Intelligence Report National Estimated Level 01/2017
Web reporting in business intelligence provides the possibility to create smart reports with the help of modern bi reporting tools, and develop a comprehensive. Web our library contains downloadable cia reports covering a wide range of industry topics. Web the ultimate guide to writing intelligence reports…(complete with templates & examples) the ultimate guide to structured analytical techniques: Web how to.
Market Intelligence Report Template Professional Template
Explore readings on our history, technology, thought leadership, and more. Web our technology automatically collects and analyzes information from an unrivaled breadth of sources and provides invaluable context in real time and packaged for human analysis or. Web cyberthreat reports can help bridge that gap. Web intelligence from information to intelligence before we can properly discuss and explore information, intelligence.
Strategic & Tactical Dashboards Best Practices, Examples With Market
Web cyberthreat reports can help bridge that gap. Web reporting in business intelligence provides the possibility to create smart reports with the help of modern bi reporting tools, and develop a comprehensive. Web daniel barnes mary clawson workshop goals introduce the principles for intelligence reporting understand why maps are an important way to communicate intelligence. Web how to write an.
Web the ultimate guide to writing intelligence reports…(complete with templates & examples) the ultimate guide to structured analytical techniques: Explore readings on our history, technology, thought leadership, and more. Web daniel barnes mary clawson workshop goals introduce the principles for intelligence reporting understand why maps are an important way to communicate intelligence. Web our technology automatically collects and analyzes information from an unrivaled breadth of sources and provides invaluable context in real time and packaged for human analysis or. Web pen perfect looking papers and reports every time when you start your assignment with a customizable design and layout template. Use it for the joint exchange of information provided through tactical. Web how to write an intelligence product in the bottom line up front (bluf) format this exercise will demonstrate how to write an intelligence product in the bluf format, using. An easy way to start completing your document is to download this intelligence information report template now! Web reporting in business intelligence provides the possibility to create smart reports with the help of modern bi reporting tools, and develop a comprehensive. Web how to draft a intelligence information report? Web intelligence from information to intelligence before we can properly discuss and explore information, intelligence and analysis in theoretical and practical terms, we. Web ultimately, one of the most important aspects of your weekly threat intelligence report will be its structure, with a template devoting sections to encompass. Web our library contains downloadable cia reports covering a wide range of industry topics. In this blog post, we'll discuss how to create an. Web cyberthreat reports can help bridge that gap. With a blank word document, insert to. Whether you want your paper to pop off the.
Use It For The Joint Exchange Of Information Provided Through Tactical.
Web intelligence from information to intelligence before we can properly discuss and explore information, intelligence and analysis in theoretical and practical terms, we. With a blank word document, insert to. An easy way to start completing your document is to download this intelligence information report template now! Web our library contains downloadable cia reports covering a wide range of industry topics.
Explore Readings On Our History, Technology, Thought Leadership, And More.
Web cyberthreat reports can help bridge that gap. Web ultimately, one of the most important aspects of your weekly threat intelligence report will be its structure, with a template devoting sections to encompass. Whether you want your paper to pop off the. Web pen perfect looking papers and reports every time when you start your assignment with a customizable design and layout template.
Web Our Technology Automatically Collects And Analyzes Information From An Unrivaled Breadth Of Sources And Provides Invaluable Context In Real Time And Packaged For Human Analysis Or.
Web daniel barnes mary clawson workshop goals introduce the principles for intelligence reporting understand why maps are an important way to communicate intelligence. Web reporting in business intelligence provides the possibility to create smart reports with the help of modern bi reporting tools, and develop a comprehensive. Web the ultimate guide to writing intelligence reports…(complete with templates & examples) the ultimate guide to structured analytical techniques: Web how to write an intelligence product in the bottom line up front (bluf) format this exercise will demonstrate how to write an intelligence product in the bluf format, using.
In This Blog Post, We'll Discuss How To Create An.
Web how to draft a intelligence information report?






