Joint Power Of Attorney Template - Ad get your power of attorney today. It is most often used where one person is. You, the “principal”, specify in the form what. Best power of attorney forms for the usa with professional lawyer comments. Ad power of attorney form. This document is also known as letter of attorney. Web instantly draft and send a poa template for 100% free. Web a power of attorney allows your agent to handle your important affairs for you. Within your joint power of attorney,. Lawdepot.com has been visited by 100k+ users in the past month
Free Fillable Oklahoma Power of Attorney Form ⇒ PDF Templates
Adobe pdf, ms word (.docx). A power of attorney (poa) form is a legal document that enables you ( the principal ) to appoint someone you trust ( your agent ) to manage your medical and financial affairs if you cannot do so. A power of attorney form is a legal contract of agency between a “principal” and an “agent”.
Power Of Attorney Example Uk
Ad power of attorney form. Web instantly draft and send a poa template for 100% free. Adobe pdf, ms word (.docx). It is most often used where one person is. Save or instantly send your ready documents.
Joint Power Of Attorney Form printable pdf download
Our templates include special authorizations, durable power of attorney, joint ownership. A poa is a written document in which a. The power may be limited to a particular activity, such as closing the sale of your. Best power of attorney forms for the usa with professional lawyer comments. Save or instantly send your ready documents.
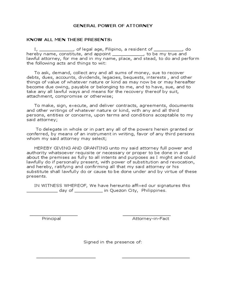
General Power Of Attorney Power Of Attorney Civil Law (Legal System)
Easily fill out pdf blank, edit, and sign them. Adobe pdf, ms word (.docx). Two heads are better than one, and. Ad power of attorney form. Our templates include special authorizations, durable power of attorney, joint ownership.
50 Free Power of Attorney Forms & Templates (Durable, Medical,General)
Web in texas, there are several kinds of powers of attorney that will grant the agent the right to accomplish different things on the principal's behalf. Web 50+ general power of attorney forms & templates (free) a power of attorney can be a key document to protect your interests if something happens to you and you cannot take. Save or.
General Joint Power Of Attorney Form Templates at
Best power of attorney forms for the usa with professional lawyer comments. A power of attorney (poa) form is a legal document that enables you ( the principal ) to appoint someone you trust ( your agent ) to manage your medical and financial affairs if you cannot do so. Web download this general joint power of attorney template design.
22+ Word Power of Attorney Templates Free Download
Within your joint power of attorney,. Web a power of attorney gives one or more persons the power to act on your behalf as your agent. Web be sure your joint power of attorney describes the kind of power that you want to grant. Web 50+ general power of attorney forms & templates (free) a power of attorney can be.
Power Of Attorney Form Joint Legal DecisionMaking Parents And Minor
Best power of attorney forms for the usa with professional lawyer comments. Web 50+ general power of attorney forms & templates (free) a power of attorney can be a key document to protect your interests if something happens to you and you cannot take. A power of attorney (poa) form is a legal document that enables you ( the principal.
Florida Durable Financial Power of Attorney Form Power of Attorney
A power of attorney form is a legal contract of agency between a “principal” and an “agent” — one appointed by the principal — to perform acts on their behalf. Identify yourself and your agents: Easily fill out pdf blank, edit, and sign them. Web be sure your joint power of attorney describes the kind of power that you want.
General Power of Attorney Template Google Docs, Word
Web complete joint special power of attorney online with us legal forms. Web 50+ general power of attorney forms & templates (free) a power of attorney can be a key document to protect your interests if something happens to you and you cannot take. Easily fill out pdf blank, edit, and sign them. A power of attorney form is a.
This document is also known as letter of attorney. Web download this general joint power of attorney template design in word, google docs format. You, the “principal”, specify in the form what. Web a power of attorney is a legal form but is not a court form. Easily fill out pdf blank, edit, and sign them. A power of attorney cannot be used to give someone the power to bring a lawsuit on your behalf. Identify yourself and your agents: Lawdepot.com has been visited by 100k+ users in the past month A power of attorney (poa) form is a legal document that enables you ( the principal ) to appoint someone you trust ( your agent ) to manage your medical and financial affairs if you cannot do so. Web be sure your joint power of attorney describes the kind of power that you want to grant. Ad power of attorney form. Ad get your power of attorney today. Web this general power of attorney template is suitable if you wish to transfer all property rights and responsibility from one person to another. Web instantly draft and send a poa template for 100% free. Within your joint power of attorney,. Web complete joint special power of attorney online with us legal forms. It is most often used where one person is. Best power of attorney forms for the usa with professional lawyer comments. A poa is a written document in which a. Save or instantly send your ready documents.
A Power Of Attorney Cannot Be Used To Give Someone The Power To Bring A Lawsuit On Your Behalf.
Web download this general joint power of attorney template design in word, google docs format. Updated june 22, 2023 | legally reviewed by susan chai, esq. Web complete joint special power of attorney online with us legal forms. The power may be limited to a particular activity, such as closing the sale of your.
Lawdepot.com Has Been Visited By 100K+ Users In The Past Month
This document is also known as letter of attorney. A power of attorney (poa) form is a legal document that enables you ( the principal ) to appoint someone you trust ( your agent ) to manage your medical and financial affairs if you cannot do so. You, the “principal”, specify in the form what. It is most often used where one person is.
Save Or Instantly Send Your Ready Documents.
Adobe pdf, ms word (.docx). Ad get your power of attorney today. Ad power of attorney form. Web this general power of attorney template is suitable if you wish to transfer all property rights and responsibility from one person to another.
Two Heads Are Better Than One, And.
Best power of attorney forms for the usa with professional lawyer comments. A poa is a written document in which a. Within your joint power of attorney,. A power of attorney form is a legal contract of agency between a “principal” and an “agent” — one appointed by the principal — to perform acts on their behalf.





