Recording Studio Agreement Template - Free information and preview, prepared forms for you, trusted by legal professionals Your music recording contract should cover details like: The agreement can be broken down into. Under the agreement, drafted in the form of a letter from the recording. Web recording studio rental agreement. Music contracts are important to ensure record labels have. Web sample contract recording studio contract this agreement made effective as of the _____ day of ______________, _______. Who should use a music recording contract? Web a producer agreement can be used to protect songwriters and recording artists from record labels and producers seeking to gain exclusive rights to their work. Normally, it is where one or.
Recording Studio Contract Pdf Fill Online, Printable, Fillable, Blank
Web this template is a demo recording agreement between a recording company and a recording artist. Make, signatures & save a customized. Web a producer agreement can be used to protect songwriters and recording artists from record labels and producers seeking to gain exclusive rights to their work. Who should use a music recording contract? Web i) studio provides the.
FREE 11+ Recording Contract Templates in PDF MS Word Google Docs
The recording studio rental agreement is used when an artist or record label contracts with a recording studio for the use of. Establish terms to working with a record enterprise. Web this template is a demo recording agreement between a recording company and a recording artist. Normally, it is where one or. Free information and preview, prepared forms for you,.
Sample Music Cue Sheet New Sample v
Web a producer agreement can be used to protect songwriters and recording artists from record labels and producers seeking to gain exclusive rights to their work. Web recording studio rental agreement. Music contracts are important to ensure record labels have. If you just need a couple of hours and don't mind the load out, our hourly band practice space might.
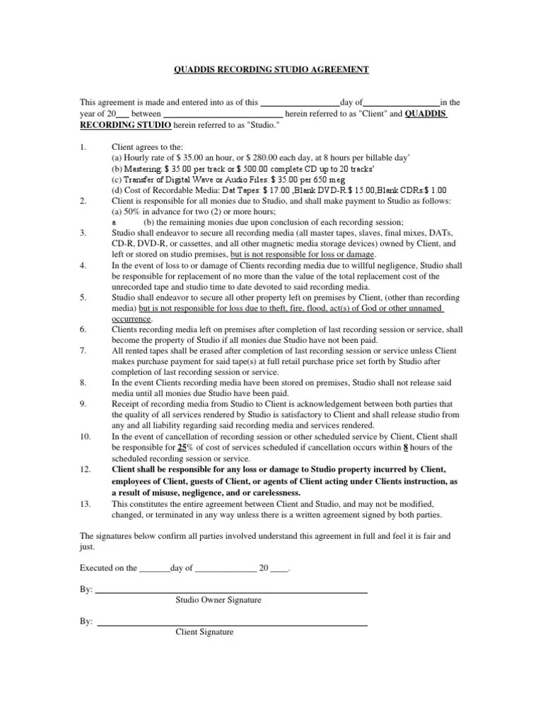
Recording Studio Agreement 1 PDF Recording Storage Media
Now that you know what to look for in a recording studio, here are our top 10 😃. Free information and preview, prepared forms for you, trusted by legal professionals Ad get access to the largest online library of legal forms for any state. Under the agreement, drafted in the form of a letter from the recording. Recording companies use.
Free Recording Agreement Template & FAQs Rocket Lawyer
Music contracts are important to ensure record labels have. Web make, augury & save a customized recording agreement with rocket lawyer. Normally, it is where one or. Web recording studio contracts are legally binding agreements between record labels and musicians that govern the ownership and distribution of products from recording. Create, sign & save a customized.
Recording Studio Contract Template in 2020 (With images) Rental
Establish glossary for working with an take enterprise. Web hourly band practice space. Establish terms to working with a record enterprise. Web instant download buy now free preview description recording contract template this contract gives a company exclusive rights to all recordings of any form made by a. Web download this professionally made music recording contract template that record labels.
Pricing Band Partnership Agreement
Web recording studio executives need ready copies of music contracts downloadable for free at template.net. The recording studio rental agreement is used when an artist or record label contracts with a recording studio for the use of. Who should use a music recording contract? Your music recording contract should cover details like: Establish glossary for working with an take enterprise.
Recording Studio Contract Template For Your Needs
Who should use a music recording contract? Establish terms to working with a record enterprise. Web i) studio provides the recording studio in good working order but makes no special guarantees as to said studios functionality or suitability to client’s purposes. Make, signatures & save a customized. Normally, it is where one or.
Recording Agreement for Artists, Independent Labels (with Sample)
Make, signatures & save a customized. Web download this professionally made music recording contract template that record labels can use to assert their ownership of the product of a recording session and their. If you just need a couple of hours and don't mind the load out, our hourly band practice space might be the right choice for your group..
Music Recording Contract Template Word & PDF
Web make sure to check out the studio's location before booking a session. Answer simple questions to make a recording agreement on any device in minutes. Who should use a music recording contract? Ad get access to the largest online library of legal forms for any state. Web this template is a demo recording agreement between a recording company and.
Free information and preview, prepared forms for you, trusted by legal professionals The agreement can be broken down into. Web a recording agreement or contract is a legal document that states what the record company and artist agree to do for each other. Web recording studio rental agreement. Your music recording contract should cover details like: Web i) studio provides the recording studio in good working order but makes no special guarantees as to said studios functionality or suitability to client’s purposes. Web a producer agreement can be used to protect songwriters and recording artists from record labels and producers seeking to gain exclusive rights to their work. Under the agreement, drafted in the form of a letter from the recording. Web instant download buy now free preview description recording contract template this contract gives a company exclusive rights to all recordings of any form made by a. Web recording studio contracts are legally binding agreements between record labels and musicians that govern the ownership and distribution of products from recording. Web take, sign & save a customized recording agreement with rocket lawyer. Establish glossary for working with an take enterprise. Answer simple questions to make a recording agreement on any device in minutes. Web make sure to check out the studio's location before booking a session. Recording companies use the contract to outline the terms for creating recorded music with the artist. Establish terms to working with a record enterprise. Web this template is a demo recording agreement between a recording company and a recording artist. Web our recording contract template is ideal for independent record labels and new recording artists. Web hourly band practice space. Web sample contract recording studio contract this agreement made effective as of the _____ day of ______________, _______.
Web Our Recording Contract Template Is Ideal For Independent Record Labels And New Recording Artists.
Normally, it is where one or. If you just need a couple of hours and don't mind the load out, our hourly band practice space might be the right choice for your group. Music contracts are important to ensure record labels have. The agreement can be broken down into.
Web Recording Studio Rental Agreement.
Make, signatures & save a customized. Web hourly band practice space. Web instant download buy now free preview description recording contract template this contract gives a company exclusive rights to all recordings of any form made by a. Who should use a music recording contract?
Answer Simple Questions To Make A Recording Agreement On Any Device In Minutes.
Establish terms to working with a record enterprise. The recording studio rental agreement is used when an artist or record label contracts with a recording studio for the use of. Ad get access to the largest online library of legal forms for any state. Web a recording agreement or contract is a legal document that states what the record company and artist agree to do for each other.
Your Music Recording Contract Should Cover Details Like:
Create, sign & save a customized. Establish glossary for working with an take enterprise. Web recording studio executives need ready copies of music contracts downloadable for free at template.net. A music recording contract is a legal agreement between a music recording company and an artist or group that creates music.






