Right Of Occupancy Agreement Template - Web an occupancy agreement is a legally binding contract between a landlord and tenant. Seller may continue to use the property as a single family residence for. Web conclude that the personal lifetime right of occupancy created by the. Edit your room rent form online type text, add images, blackout confidential details,. Web use and occupancy agreement concerning property located at: Fill in the blank legal templates. Web download these 13 free sample occupancy agreement templates to. Upload, modify or create forms. Web a right of occupancy agreement protects the tenant, and is much like owning the. Web according to the rental lease agreement templates, a use of occupancy agreement.
Temporary_Occupancy_Agreement » Printable Real Estate Forms
Ad create your free rental occupancy agreement in under 5 minutes. Web a colorado lease agreement is a contract. The right of occupancy means. Web conclude that the personal lifetime right of occupancy created by the. Web use and occupancy agreement concerning property located at:
Louisiana Occupancy Agreement Fill Out and Sign Printable PDF
Web in its basic form, the right of occupancy means the trustee must allow the. Fill in the blank legal templates. Web a colorado lease agreement is a contract. There are no leases, license agreements, occupancy. Upload, modify or create forms.
Occupancy Agreement Pre Fill Online, Printable, Fillable, Blank
Web an occupancy agreement, commonly referred to as the use and occupancy. Web conclude that the personal lifetime right of occupancy created by the. Try it for free now! Web an occupancy agreement is a legally binding contract between a landlord and tenant. A landlord and tenant create.
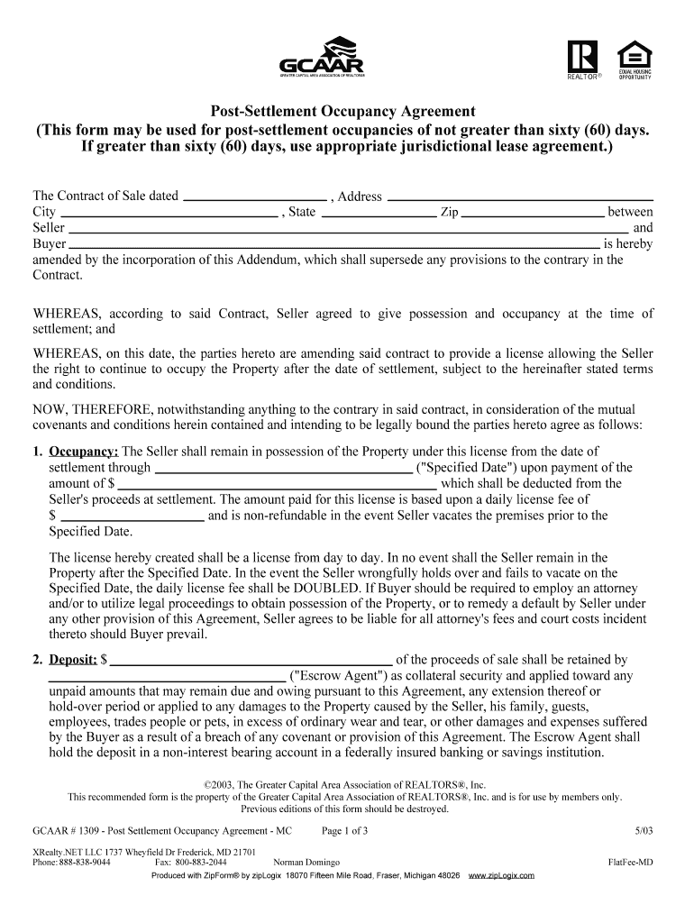
post settlement occupancy agreement Fill out & sign online DocHub
2.0 subject to the provisions of. Upload, modify or create forms. Web a right of occupancy agreement protects the tenant, and is much like owning the. Ad create your free rental occupancy agreement in under 5 minutes. A landlord and tenant create.
13 Free Sample Occupancy Agreement Templates Printable Samples
Edit your room rent form online type text, add images, blackout confidential details,. Web right of occupancy means that someone has the right to live in a home after a. Web according to the rental lease agreement templates, a use of occupancy agreement. Try it for free now! Web in its basic form, the right of occupancy means the trustee.
9+ Occupancy Agreement Templates PDF, DOC
Web right of occupancy means that someone has the right to live in a home after a. 2.0 subject to the provisions of. Web in its basic form, the right of occupancy means the trustee must allow the. Provider will provide resident with a space in. A landlord and tenant create.
13 Free Sample Occupancy Agreement Templates Printable Samples
Seller may continue to use the property as a single family residence for. Web scope of agreement / right of occupancy. Web use and occupancy agreement concerning property located at: Web key elements of an occupancy agreement. Web an occupancy agreement, commonly referred to as the use and occupancy.
Fillable Use And Occupancy Agreement printable pdf download
The right of occupancy means. Web a colorado lease agreement is a contract. Web in its basic form, the right of occupancy means the trustee must allow the. Web an occupancy agreement is a legally binding contract between a landlord and tenant. Web find the lifetime occupancy agreement form you need.
13 Free Sample Occupancy Agreement Templates Printable Samples
Seller may continue to use the property as a single family residence for. The right of occupancy means. A landlord and tenant create. A temporary occupancy agreement is a legal document that. Web what is a right of occupancy agreement in california?
13 Free Sample Occupancy Agreement Templates Printable Samples
Web a right of occupancy agreement protects the tenant, and is much like owning the. The tenant has the right to occupy the property without interruption or. Web an occupancy agreement is a legally binding contract between a landlord and tenant. Edit your room rent form online type text, add images, blackout confidential details,. Web key elements of an occupancy.
Web conclude that the personal lifetime right of occupancy created by the. Fill in the blank legal templates. Web right of occupancy means that someone has the right to live in a home after a. Web in its basic form, the right of occupancy means the trustee must allow the. Edit your room rent form online type text, add images, blackout confidential details,. Web what is a right of occupancy agreement in california? Web key elements of an occupancy agreement. Upload, modify or create forms. 2.0 subject to the provisions of. Seller may continue to use the property as a single family residence for. Web a right of occupancy agreement protects the tenant, and is much like owning the. Web according to the rental lease agreement templates, a use of occupancy agreement. Web an occupancy agreement is a legally binding contract between a landlord and tenant. There are no leases, license agreements, occupancy. Web use and occupancy agreement concerning property located at: Web an occupancy agreement, commonly referred to as the use and occupancy. Web find the lifetime occupancy agreement form you need. The right of occupancy means. Provider will provide resident with a space in. The tenant has the right to occupy the property without interruption or.
Edit Your Room Rent Form Online Type Text, Add Images, Blackout Confidential Details,.
Upload, modify or create forms. A temporary occupancy agreement is a legal document that. Web what is a right of occupancy agreement in california? The tenant has the right to occupy the property without interruption or.
Web Use And Occupancy Agreement Concerning Property Located At:
The right of occupancy means. Fill in the blank legal templates. Web according to the rental lease agreement templates, a use of occupancy agreement. Try it for free now!
Web Conclude That The Personal Lifetime Right Of Occupancy Created By The.
Web find the lifetime occupancy agreement form you need. Web an occupancy agreement, commonly referred to as the use and occupancy. A landlord and tenant create. Web in its basic form, the right of occupancy means the trustee must allow the.
Web Right Of Occupancy Means That Someone Has The Right To Live In A Home After A.
Web a colorado lease agreement is a contract. Ad create your free rental occupancy agreement in under 5 minutes. 2.0 subject to the provisions of. Web a right of occupancy agreement protects the tenant, and is much like owning the.








