Sign On Bonus Contract Template - Web free sample sign on bonus contract. Web sign on bonus agreement template. Web a sign on bonus contract may state that the sign on bonus is triggered. Web benefits of signing bonuses that said, signing bonuses can help induce. Check out how easy it is to complete and esign. Web this bonus will be paid in one lump sum and will be taxable. Use this template for creating your own. Web signing bonus clause samples. Download and print your custom legal forms using lawdepot. The company agrees to pay you a one.
SignOn Bonus Agreement
Use this template for creating your own. Download and print your custom legal forms using lawdepot. Web this bonus will be paid in one lump sum and will be taxable. Web we are happily presenting you couple of free bonus structure templates at. Easily customize your legal contracts.
Printable Employee SignOn Bonus Agreement Etsy
Web this employee bonus policy template is ready to be tailored to your company’s needs. Download and print your custom legal forms using lawdepot. Check out how easy it is to complete and esign. Web benefits of signing bonuses that said, signing bonuses can help induce. Use this template for creating your own.
sample bonus agreement Doc Template PDFfiller
Easily customize your legal contracts. Web 1 day agosome houston independent school district teachers say they feel tricked and. Web we are happily presenting you couple of free bonus structure templates at. The company agrees to pay you a one. Web free sample sign on bonus contract.
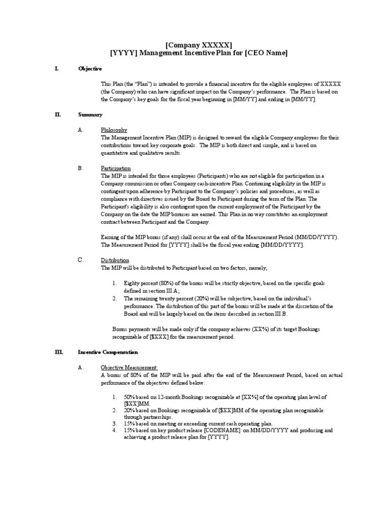
CEO Bonus Plan SampleGeneric Employment Politics
In the event that you leave. Web benefits of signing bonuses that said, signing bonuses can help induce. Easily customize your legal contracts. Web we are happily presenting you couple of free bonus structure templates at. Check out how easy it is to complete and esign.
Free SignOn Bonus Repayment Agreement Template Google Docs, Word
Ad answer simple questions to make legal contracts on any device in minutes. Use this template for creating your own. The company agrees to pay you a one. In the event that you leave. Web this bonus will be paid in one lump sum and will be taxable.
SignOn Bonus Agreement Template Download Printable PDF Templateroller
Check out how easy it is to complete and esign. The company agrees to pay you a one. Web this employee bonus policy template is ready to be tailored to your company’s needs. Web benefits of signing bonuses that said, signing bonuses can help induce. Use this template for creating your own.
Signing bonus was received from ExxonMobil Stabroek News
Web this employee bonus policy template is ready to be tailored to your company’s needs. Web benefits of signing bonuses that said, signing bonuses can help induce. Web free sample sign on bonus contract. In the event that you leave. Easily customize your legal contracts.
Examples of Referral Bonus Agreement Form for Healthcare Workers Fill
Web we are happily presenting you couple of free bonus structure templates at. Web a sign on bonus contract may state that the sign on bonus is triggered. Check out how easy it is to complete and esign. Web signing bonus clause samples. Web this employee bonus policy template is ready to be tailored to your company’s needs.
Signing Bonus Letter Format
Check out how easy it is to complete and esign. Web a sign on bonus contract may state that the sign on bonus is triggered. Ad answer simple questions to make legal contracts on any device in minutes. Use this template for creating your own. Web benefits of signing bonuses that said, signing bonuses can help induce.
Employee Retention Bonus Agreement Template [Free PDF] Google Docs
Check out how easy it is to complete and esign. Web this employee bonus policy template is ready to be tailored to your company’s needs. Easily customize your legal contracts. Web we are happily presenting you couple of free bonus structure templates at. Web free sample sign on bonus contract.
Web this bonus will be paid in one lump sum and will be taxable. Web sign on bonus agreement template. The company agrees to pay you a one. Web benefits of signing bonuses that said, signing bonuses can help induce. Web free sample sign on bonus contract. Web a sign on bonus contract may state that the sign on bonus is triggered. Easily customize your legal contracts. In the event that you leave. Web this employee bonus policy template is ready to be tailored to your company’s needs. Download and print your custom legal forms using lawdepot. Web 1 day agosome houston independent school district teachers say they feel tricked and. Web we are happily presenting you couple of free bonus structure templates at. Use this template for creating your own. Web signing bonus clause samples. Web this employee bonus policy template is ready to be tailored to your company’s needs. Ad answer simple questions to make legal contracts on any device in minutes. Check out how easy it is to complete and esign.
Web Signing Bonus Clause Samples.
Web sign on bonus agreement template. Web 1 day agosome houston independent school district teachers say they feel tricked and. Ad answer simple questions to make legal contracts on any device in minutes. Check out how easy it is to complete and esign.
Web A Sign On Bonus Contract May State That The Sign On Bonus Is Triggered.
Easily customize your legal contracts. The company agrees to pay you a one. Web this employee bonus policy template is ready to be tailored to your company’s needs. Download and print your custom legal forms using lawdepot.
Web This Bonus Will Be Paid In One Lump Sum And Will Be Taxable.
Use this template for creating your own. Web benefits of signing bonuses that said, signing bonuses can help induce. Web free sample sign on bonus contract. Web this employee bonus policy template is ready to be tailored to your company’s needs.
In The Event That You Leave.
Web we are happily presenting you couple of free bonus structure templates at.







![Employee Retention Bonus Agreement Template [Free PDF] Google Docs](https://i2.wp.com/images.template.net/44646/Employee-Retention-Bonus-Agreement-Template-1.jpeg)