Witness Affidavit Template - 2) print your affidavit start now free! Web download this character witness affidavit template design in word, google docs format. Web use this free affidavit witness statement form template to collect witness statements — whether you’re an attorney, law enforcement officer, or just need testimony for a family. Before me, the undersigned authority in and for said county and state personally appeared __________________ ( affiant) who is known to me and who being. A court affidavit form is provided as witness testimony to an ongoing legal case. The sworn statement is recommended to be notarized. Go through the recommendations to find out which details you need to include. 2) print your affidavit start now free! Create, edit, and print a variety of affidavits with our easy to use platform! It can be taken by any public officer authorized by law to administer oaths, including notaries.
Editable 13 Witness Statement Forms Free Pdf Doc Format Download
Web an affidavit is a simple sworn statement by the witness. Print your affidavit start 100% free! This form can be used for many needs, such as to swear to the year someone was born,. Ad 1) answer a few simple questions. Web use this free affidavit witness statement form template to collect witness statements — whether you’re an attorney,.
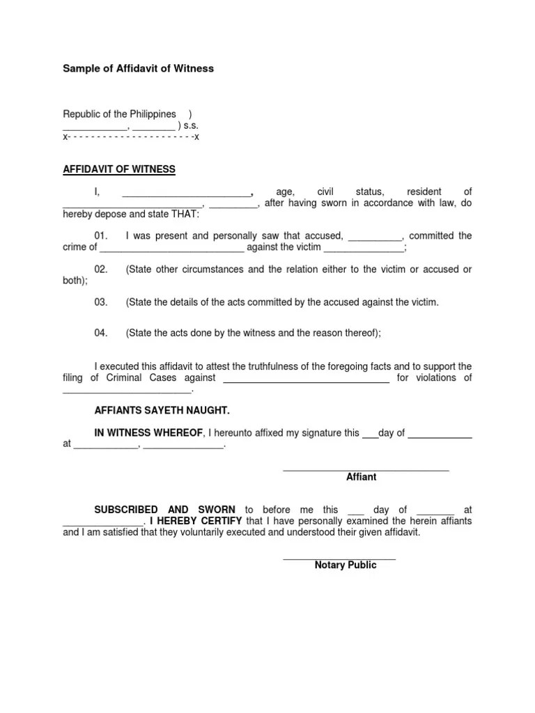
Sample of Affidavit of Witness
Use our affidavit template to swear to the truthfulness of a statement or fact. Ad verified affidavit templates & 24/7 customer support. Affidavits can only contain information that the client or witness knows to be true or has good reason. Create, edit, and print a variety of affidavits with our easy to use platform! The sworn statement is recommended to.
Witness Statement Affidavit Templates at
Ad 1) answer a few simple questions. Before me, the undersigned authority in and for said county and state personally appeared __________________ ( affiant) who is known to me and who being. Affidavits, or notarized sworn statements, are used. Web warrant for the arrest of a witness in a civil case: Ad 1) answer a few simple questions.
affidavit of witness for marriage sample The 12 Secrets AH STUDIO Blog
Answer a few simple questions. Create, edit, and print a variety of affidavits with our easy to use platform! This form can be used for many needs, such as to swear to the year someone was born,. If any of the facts are found to be untruthful, the affiant could be liable for perjury. Ad 1) answer a few simple.
FREE 19+ General Affidavit Samples and Templates in PDF
Affidavits can only contain information that the client or witness knows to be true or has good reason. Answer a few simple questions. 2) print your affidavit start now free! If any of the facts are found to be untruthful, the affiant could be liable for perjury. Ad 1) answer a few simple questions.
Affidavit Of Witness Statement Sample Master of Template Document
2) print your affidavit start now free! Web download this character witness affidavit template design in word, google docs format. Open the form in the online editor. It can be taken by any public officer authorized by law to administer oaths, including notaries. Use our affidavit template to swear to the truthfulness of a statement or fact.
FREE 32+ Affidavit Forms in MS Word
Open the form in the online editor. The victim presence statement and the witness presence statement. Create, edit, and print a variety of affidavits with our easy to use platform! Web the person signing the affidavit must appear personally in front of the notary. Create, edit, and print a variety of affidavits with our easy to use platform!
Sample Statement Affidavit Template fasrhi
Web 3) that i verify that the information provided in this affidavit is accurate and i understand that the information provided in this affidavit may be used by the behavior analyst. Web download this character witness affidavit template design in word, google docs format. A court affidavit form is provided as witness testimony to an ongoing legal case. Ad 1).
FREE 30+ Affidavit Forms in PDF Ms Word Excel
Go through the recommendations to find out which details you need to include. Use our affidavit template to swear to the truthfulness of a statement or fact. It can be taken by any public officer authorized by law to administer oaths, including notaries. Web download this character witness affidavit template design in word, google docs format. 2) print your affidavit.
Witness' Affidavit
Affidavits, or notarized sworn statements, are used. Ad 1) answer a few simple questions. Answer a few simple questions. Web 3) that i verify that the information provided in this affidavit is accurate and i understand that the information provided in this affidavit may be used by the behavior analyst. If any of the facts are found to be untruthful,.
If any of the facts are found to be untruthful, the affiant could be liable for perjury. This form can be used for many needs, such as to swear to the year someone was born,. Clerk's certification of a judgment to be. Affidavits, or notarized sworn statements, are used. Ad 1) answer a few simple questions. Ad 1) answer a few simple questions. Web up to 24% cash back you can easily make an affidavit within a few minutes using our document builder. Web 3) that i verify that the information provided in this affidavit is accurate and i understand that the information provided in this affidavit may be used by the behavior analyst. Before me, the undersigned authority in and for said county and state personally appeared __________________ ( affiant) who is known to me and who being. Web use this free affidavit witness statement form template to collect witness statements — whether you’re an attorney, law enforcement officer, or just need testimony for a family. Web warrant for the arrest of a witness in a civil case: It is common to use when an. Ad verified affidavit templates & 24/7 customer support. A court affidavit form is provided as witness testimony to an ongoing legal case. Web get the form you require in our library of legal templates. It can be taken by any public officer authorized by law to administer oaths, including notaries. Web the person signing the affidavit must appear personally in front of the notary. Web download this character witness affidavit template design in word, google docs format. Answer a few simple questions. Create, edit, and print a variety of affidavits with our easy to use platform!
Ad 1) Answer A Few Simple Questions.
Create, edit, and print a variety of affidavits with our easy to use platform! Create, edit, and print a variety of affidavits with our easy to use platform! 2) print your affidavit 100% free! Web warrant for the arrest of a witness in a civil case:
Ad 1) Answer A Few Simple Questions.
Web use this free affidavit witness statement form template to collect witness statements — whether you’re an attorney, law enforcement officer, or just need testimony for a family. Web the person signing the affidavit must appear personally in front of the notary. If any of the facts are found to be untruthful, the affiant could be liable for perjury. Affidavits, or notarized sworn statements, are used.
State Has Different Rules And Regulations From Each Other, And Lawdepot Will Customize Your Affidavit To Meet The Standards Of Any Of The 50 States Or.
It is common to use when an. Ad 1) answer a few simple questions. Go through the recommendations to find out which details you need to include. Before me, the undersigned authority in and for said county and state personally appeared __________________ ( affiant) who is known to me and who being.
The Sworn Statement Is Recommended To Be Notarized.
2) print your affidavit start now free! Affidavits can only contain information that the client or witness knows to be true or has good reason. The vcf has just posted two new presence statement forms to the website: 2) print your affidavit start now free!






